Задать свой вопрос   *более 50 000 пользователей получили ответ на «Решим всё»

Задача 42671 Найти общее решение и фундаментальную...

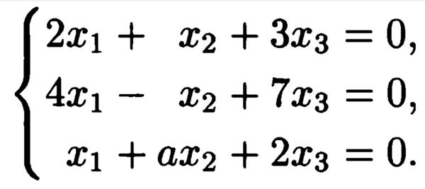
Условие

Найти общее решение и фундаментальную систему решений однородной системы линейных уравнений в зависимости от параметра

математика ВУЗ 993

О решение...

На нашем сайте такое бывает редко, но решение к данной задаче еще никто не написал.

Что Вы можете сделать?

  1. Выставите данный вопрос вновь. Перейдите на главную страницу.
  2. Найдите похожую задачу. Используйте поиск.

Написать комментарий

Меню

Присоединяйся в ВК