Задать свой вопрос   *более 50 000 пользователей получили ответ на «Решим всё»

Задача 42642 ...

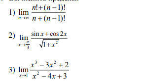
Условие

1) lim (n→∞) (n! + (n-1)!) / (n + (n-1)!)

2) lim (x→π/3) (sin x + cos 2x) / √(1 + x²)

3) lim (x→1) (x³ - 3x² + 2) / (x² - 4x + 3)

математика ВУЗ 690

Решение

1) Неопределенность ( ∞ / ∞ ) Делим на n! и числитель и знаменатель.

=(1+0)/(0+0)=1/0= ∞

2) = (sin(π/3)+2cos(π/3))/(sqrt(1+(π/3)^2)=(sqrt(3)/2 + 2*(1/2))/(1+(π^2/9))=9*(sqrt(3)+2)/(2*(9+π^2))

3)Неопределенность (0 /0 )

Значит х=1 - корень и числителя и знаменателя. Надо сократить и числитель и знаменатель на (х-1)

Для этого надо разложить и и числитель и знаменатель
на множители:

x^3-3x+2=(x-1)*(x^2+x-2)
x^2-4x+3=(x-1)(x-3)

=lim_(x → 1)(x^2+x-2)/(x-3)=(1+1-2)/(1-3)=0/(-2)=0

Написать комментарий

Меню

Присоединяйся в ВК