Задать свой вопрос
*более 50 000 пользователей получили ответ на «Решим всё»
Задача 42545
...
Условие
vk295929291
2019-12-12 12:52:10
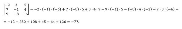
3. Вычислить определитель
│ -2 3 5 │
│ 7 -1 4 │
│ 9 -8 -6 │.
математика ВУЗ
796
Решение
u821511235
2019-12-12 13:24:37
★
Написать комментарий
Меню
Решим всё
Найти задачу
Категории
Статьи
Тесты
Архив задач
Присоединяйся в ВК