Задать свой вопрос
*более 50 000 пользователей получили ответ на «Решим всё»
Задача 42543
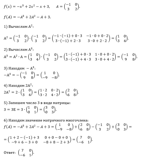
1. Найти значение матричного многочлена...
Условие
vk295929291
2019-12-12 12:50:19
1. Найти значение матричного многочлена f(A):
f(x) = -x^3 + 2x^2 - x + 3, A = ...
математика ВУЗ
776
Все решения
u821511235
2019-12-12 20:10:19
Написать комментарий
Меню
Решим всё
Найти задачу
Категории
Статьи
Тесты
Архив задач
Присоединяйся в ВК