Задать свой вопрос   *более 50 000 пользователей получили ответ на «Решим всё»

Задача 42540 2.3. Вычислите ... 2.4. Угол между...

Условие

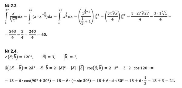
2.3. Вычислите ...

2.4. Угол между векторами a и b равен 120°. Найдите a (2a - b), если |a| = 3; |b| = 2.

математика 10-11 класс 595

Решение

Написать комментарий

Меню

Присоединяйся в ВК