Задать свой вопрос   *более 50 000 пользователей получили ответ на «Решим всё»

Задача 42539 ...

Условие

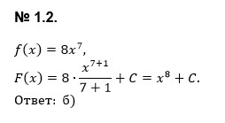
1.2. Найдите общий вид первообразной для функции f(x)=8x⁷.

а) F(x)=x⁸/8+C;
б) F(x)=x⁸+C;
в) F(x)=56x⁶;
г) F(x)=56x⁶+C.

математика 10-11 класс 593

Решение

Написать комментарий

Меню

Присоединяйся в ВК