Задать свой вопрос
*более 50 000 пользователей получили ответ на «Решим всё»
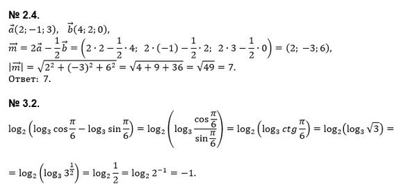
Задача 42506
ПОМОГИТЕ ПОЖАЛУЙСТА РЕШИТЬ 2.4, 3.2 ...
Условие
vk306899767
2019-12-11 17:20:42
ПОМОГИТЕ ПОЖАЛУЙСТА РЕШИТЬ 2.4, 3.2
математика 10-11 класс
532
Решение
u821511235
2019-12-11 23:36:43
★
Написать комментарий
Меню
Решим всё
Найти задачу
Категории
Статьи
Тесты
Архив задач
Присоединяйся в ВК