Задать свой вопрос
*более 50 000 пользователей получили ответ на «Решим всё»
Задача 42504
Помогите решить пожалуйста срочно...
Условие
vk280770680
2019-12-11 17:04:35
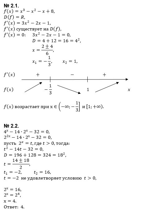
Помогите решить пожалуйста срочно подробно 2.1 и 2.2
математика
516
Решение
u821511235
2019-12-11 22:48:19
★
Написать комментарий
Меню
Решим всё
Найти задачу
Категории
Статьи
Тесты
Архив задач
Присоединяйся в ВК