Задать свой вопрос
*более 50 000 пользователей получили ответ на «Решим всё»
Задача 42498
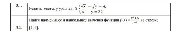
Помогите решить пожалуйста срочно 3.1 и...
Условие
vk492803606
2019-12-11 16:43:37
Помогите решить пожалуйста срочно 3.1 и 3.2 подробно
предмет не задан
555
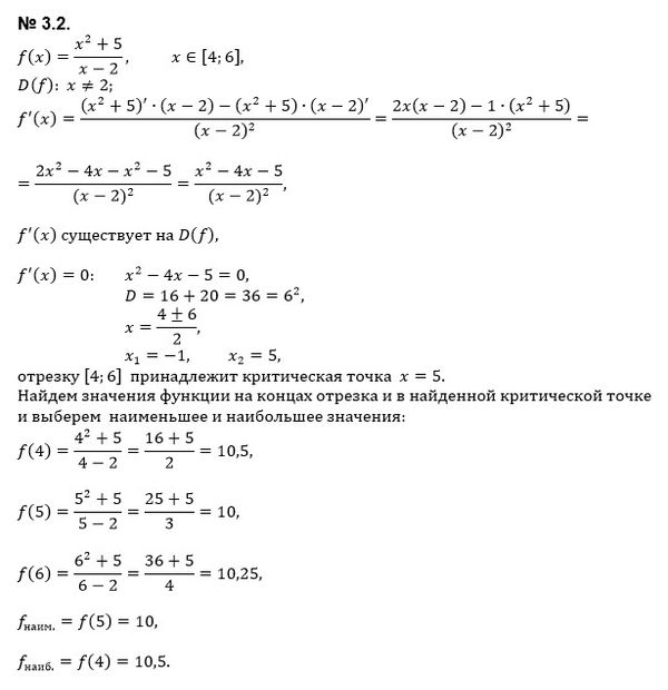
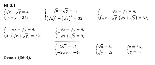
Решение
u821511235
2019-12-11 20:05:12
★
Написать комментарий
Меню
Решим всё
Найти задачу
Категории
Статьи
Тесты
Архив задач
Присоединяйся в ВК