Задать свой вопрос
*более 50 000 пользователей получили ответ на «Решим всё»
Задача 42489
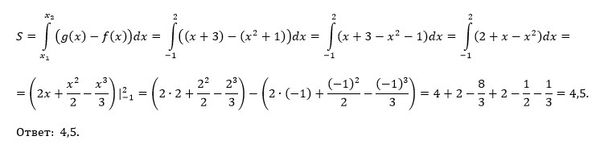
Помогите решить пожалуйста срочно ...
Условие
vk492803606
2019-12-11 16:15:36
Помогите решить пожалуйста срочно 3.1 и 3.2
математика
618
Решение
u821511235
2019-12-11 19:11:23
★
Написать комментарий
Меню
Решим всё
Найти задачу
Категории
Статьи
Тесты
Архив задач
Присоединяйся в ВК