• В задаче b) найти точки разрыва и нарисовать полный график
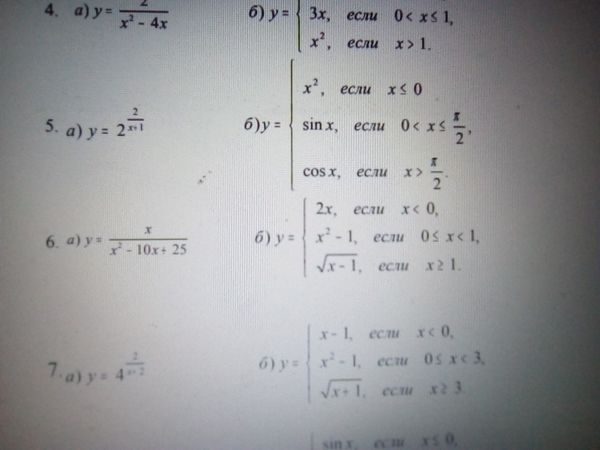
решить нужно 6 пример
Область определения :
x^2-10x+25 ≠0 ⇒ x ≠ 5
На (- ∞ ;5) и на (5;+ ∞ ) функция непрерывна как частное непрерывных функций.
Исследуем точку х=5
Находим предел слева:
lim_(x → 5-0)y=lim_(x → 5-0)(x/x^2-10x+25)=(5-0)/(5-0)^2-10*(5-0)+25)=+ ∞
Так как хотя бы один из односторонних пределов равен ∞ , то х=5 - точка разрыва второго рода
6б)
На (- ∞ ;0) функция y=2x непрерывна,
так как y=2x непрерывна на (- ∞ ;+ ∞ ).
На [0;1)функция y=x^2-1 непрерывна,
так как y=x^2-1 непрерывна на (- ∞ ;+ ∞ ).
На [1;+ ∞ ) функция y=sqrt(x-1) непрерывна.
Исследуем точки х=0 и х=1
x=0
Находим предел слева:
lim_(x → -0)y=lim_(x → -0) 2х=2*0=0
Находим предел справа:
lim_(x → +0)y=lim_(x → +0) (x^2-1)=0^2-1=-1
предел слева ≠ пределу справа, значит функция не имеет предела в точке.
Так как скачок ) разность между пределом справа и пределом слева
[i]конечный[/i]), то х=0 - точка разрыва первого рода
x=1
Находим предел слева:
lim_(x → 1-0)y=lim_(x →1 -0) (x^2-1)=(1-0)^2-1=0
Находим предел справа:
lim_(x → 1+0)y=lim_(x →1+0) sqrt(x-1)=sqrt(1+0-1)=0
предел слева = пределу справа, значит функция имеет предел в точке.
y(1)=sqrt(1-1)=0
предел слева = пределу справа= значению функции в точке
x=1 - точка непрерывности.