Задать свой вопрос
*более 50 000 пользователей получили ответ на «Решим всё»
Задача 42472
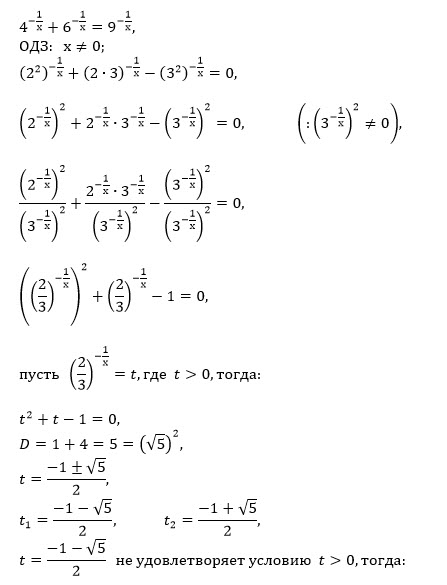
4^(-1/x) + 6^(-1/x) = 9^(-1/x)...
Условие
robot_ls
2019-12-10 20:48:47
4^(-1/x) + 6^(-1/x) = 9^(-1/x)
предмет не задан
565
Решение
u821511235
2019-12-10 23:35:54
★
Написать комментарий
Меню
Решим всё
Найти задачу
Категории
Статьи
Тесты
Архив задач
Присоединяйся в ВК