Задать свой вопрос   *более 50 000 пользователей получили ответ на «Решим всё»

Задача 42442 Решите, пожалуйста, пример с модулем...

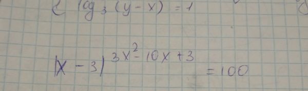
Условие

Решите, пожалуйста, пример с модулем

математика 10-11 класс 654

Все решения

Логарифмируем по основанию 10

lg|x-3|^(3x^2-10x+3)=lg100

Применяем свойство логарифма степени:

(3x^2-10x+3)*lg|x-3|=2

lg|x-3|=2/(3x^2-10x+3)

Решаем графически:

y=lg|x-3| (cм. рис. график красного цвета)

y=2/(3x^2-10x+3) (cм. рис. график синего цвета)

Два корня

Написать комментарий

Меню

Присоединяйся в ВК