Задать свой вопрос
*более 50 000 пользователей получили ответ на «Решим всё»
Задача 42303
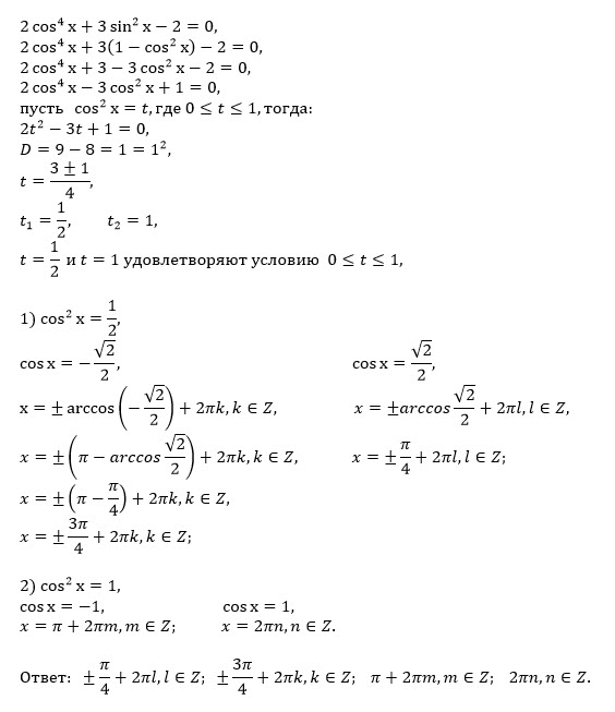
2cos^4x+3 sin^2x - 2 =0...
Условие
vk308634721
2019-12-05 17:58:52
2cos^4x+3 sin^2x - 2 =0
математика 10-11 класс
9470
Все решения
u821511235
2019-12-05 19:18:03
Написать комментарий
Меню
Решим всё
Найти задачу
Категории
Статьи
Тесты
Архив задач
Присоединяйся в ВК