1. Найдите значение выражения sqrt(x + y^2) при x = 15 и y = –7.
2. Из формулы площади круга S = πd²/4, где d — диаметр круга, выразите d.
3. Какие из чисел √18, √26, √30 заключены между числами 4 и 6?
4. √0,64: 36.
5. √80/80.
Упростите выражение (6-7).
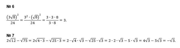
6. (3/8)².
7. 2 √12 - √75/24.
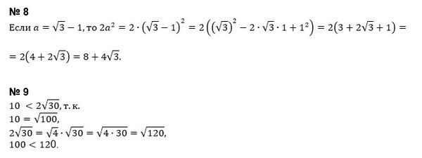
8. Найдите значение выражения 2a² при a = √3 – 1.
9. Сравните 10 и 2 √30.
Дополнительная часть
10. Из формулы a = √V/h выразите h.
11. Укажите какое-нибудь рациональное число, заключенное между числами √5 и √6.
12. Упростите выражение √2/5 + √5/2 + √10.



