Задать свой вопрос
*более 50 000 пользователей получили ответ на «Решим всё»
Задача 42278
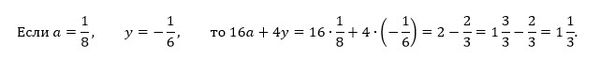
16a+4y при a=1/8,y=-1/6 ...
Условие
vk526865676
2019-12-05 09:56:58
16a+4y при a=1/8,y=-1/6
предмет не задан
560
Все решения
u821511235
2019-12-05 10:05:00
Написать комментарий
Меню
Решим всё
Найти задачу
Категории
Статьи
Тесты
Архив задач
Присоединяйся в ВК