Задать свой вопрос
*более 50 000 пользователей получили ответ на «Решим всё»
Задача 42251
Вычислите! Sin(-150) Ctg13Пи/4...
Условие
ueisn5
2019-12-04 09:09:26
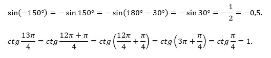
Вычислите!
Sin(-150)
Ctg13Пи/4
математика ВУЗ
1519
Решение
u821511235
2019-12-04 11:16:27
★
Все решения
slava191
2019-12-04 11:05:29
Sin(–150) = -1/2
Ctg13Пи/4 = 1
Написать комментарий
Меню
Решим всё
Найти задачу
Категории
Статьи
Тесты
Архив задач
Присоединяйся в ВК