Задать свой вопрос
*более 50 000 пользователей получили ответ на «Решим всё»
Задача 42245
помогите решить подробно пожалуйста ...
Условие
vk492803606
2019-12-03 19:36:13
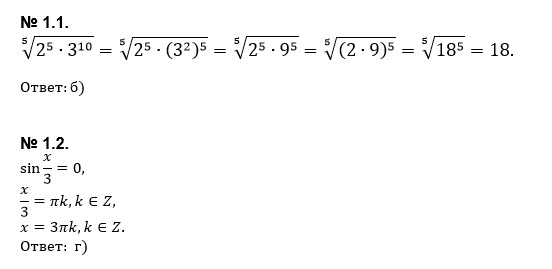
помогите решить подробно пожалуйста номера 1.1 и 1.2
математика
516
Решение
u821511235
2019-12-03 20:28:27
★
Написать комментарий
Меню
Решим всё
Найти задачу
Категории
Статьи
Тесты
Архив задач
Присоединяйся в ВК