Задать свой вопрос   *более 50 000 пользователей получили ответ на «Решим всё»

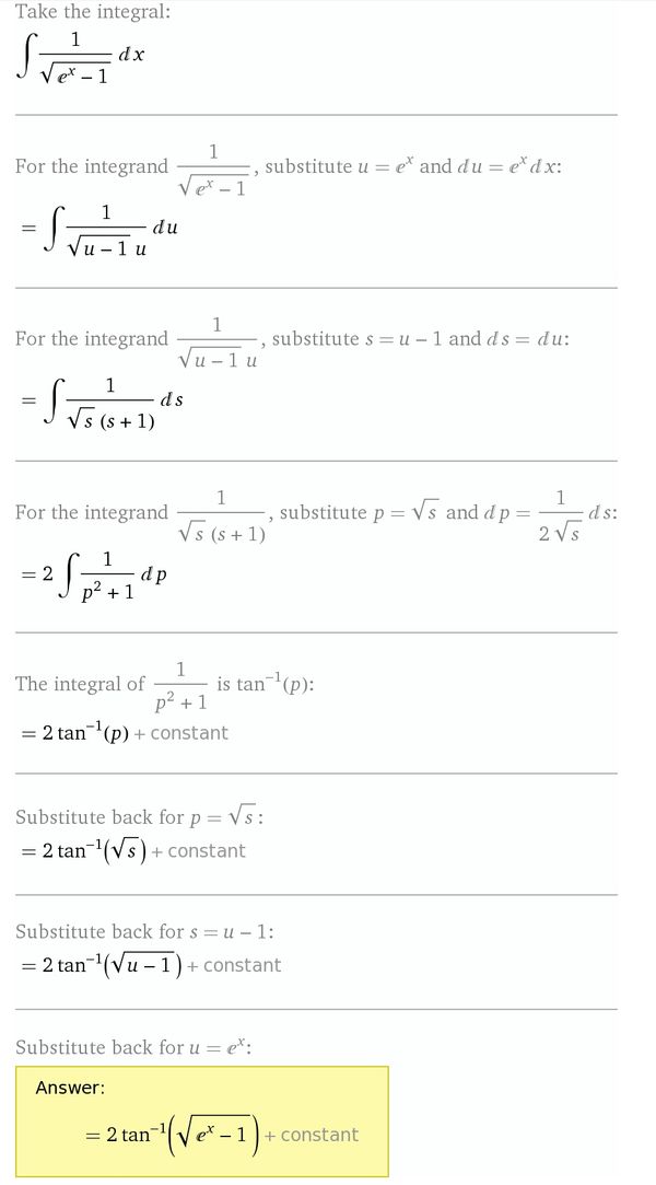
Задача 4222 интеграл dx/sqrt(e^x-1)...

Условие

интеграл dx/sqrt(e^x-1)

математика ВУЗ 4082

Решение

Хоть я и не экстросенс, но надеюсь Вас понял правильно, вам нужно взять интеграл от этого

Написать комментарий

Меню

Присоединяйся в ВК