Задать свой вопрос
*более 50 000 пользователей получили ответ на «Решим всё»
Задача 42167
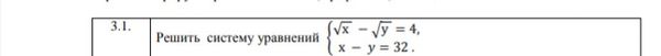
Помогите решить 3.1 подробное решение ...
Условие
vk492803606
2019-12-01 20:17:34
Помогите решить 3.1 подробное решение
математика
484
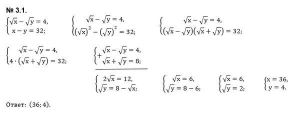
Решение
u821511235
2019-12-01 21:37:13
★
Написать комментарий
Меню
Решим всё
Найти задачу
Категории
Статьи
Тесты
Архив задач
Присоединяйся в ВК