Задать свой вопрос
*более 50 000 пользователей получили ответ на «Решим всё»
Задача 42164
помогите решить пожалуйста подробно...
Условие
vk280770680
2019-12-01 19:00:47
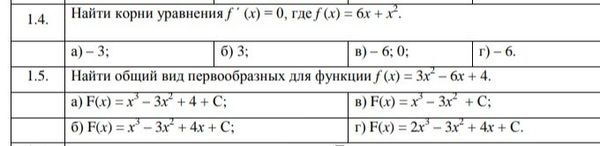
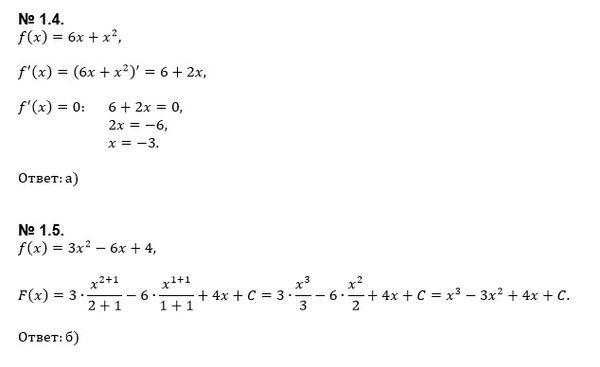
помогите решить пожалуйста подробно номер 1.4 и 1.5
математика
471
Решение
u821511235
2019-12-01 21:09:44
★
Написать комментарий
Меню
Решим всё
Найти задачу
Категории
Статьи
Тесты
Архив задач
Присоединяйся в ВК