Задать свой вопрос
*более 50 000 пользователей получили ответ на «Решим всё»
Задача 42160
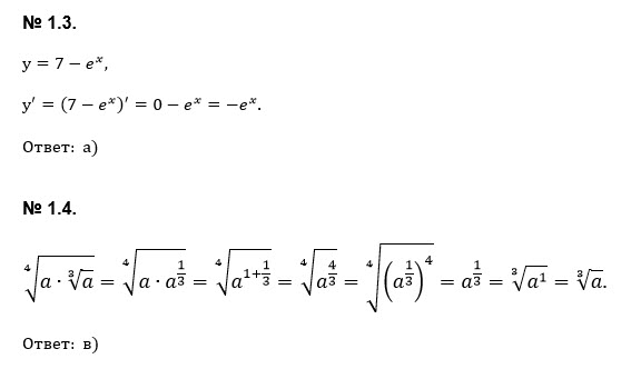
помогите решить подробно номер 1.3 и...
Условие
vk492803606
2019-12-01 18:46:51
помогите решить подробно номер 1.3 и 1.4
математика
481
Решение
u821511235
2019-12-01 22:00:44
★
Написать комментарий
Меню
Решим всё
Найти задачу
Категории
Статьи
Тесты
Архив задач
Присоединяйся в ВК