Задать свой вопрос
*более 50 000 пользователей получили ответ на «Решим всё»
Задача 42135
помгите решить подробное решение ...
Условие
vk280770680
2019-12-01 09:56:46
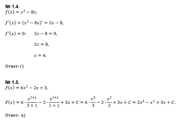
помгите решить подробное решение 1.4 и 1.5
математика
588
Решение
u821511235
2019-12-01 19:04:01
★
Написать комментарий
Меню
Решим всё
Найти задачу
Категории
Статьи
Тесты
Архив задач
Присоединяйся в ВК