Задать свой вопрос   *более 50 000 пользователей получили ответ на «Решим всё»

Задача 42133 1. 18у^3 - 36у^2 = 0 2. (x^2 - 10)^2...

Условие

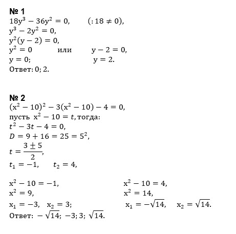
1. 18у^3 - 36у^2 = 0
2. (x^2 - 10)^2 - 3(x^2 - 10) - 4 = 0.
3. 16x^3 - 32x^2 - x + 2 = 0.
4. x^2/27 + x/3 = (x + 9)/3
5. ...

математика 10-11 класс 1826

Решение

Написать комментарий

Меню

Присоединяйся в ВК