Задать свой вопрос
*более 50 000 пользователей получили ответ на «Решим всё»
Задача 42081
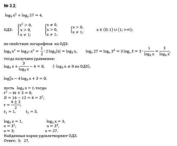
помогите решить подробно 3.1 и 3.2 ...
Условие
vk280770680
2019-11-29 15:53:35
помогите решить подробно 3.1 и 3.2
математика
525
Решение
u821511235
2019-11-29 22:26:00
★
Написать комментарий
Меню
Решим всё
Найти задачу
Категории
Статьи
Тесты
Архив задач
Присоединяйся в ВК