Задать свой вопрос   *более 50 000 пользователей получили ответ на «Решим всё»

Задача 42071 ...

Условие

Вычислить интеграл табличной подстановкой

∫ dx / (1 + 3 cos² x)

математика ВУЗ 661

Решение

f(-cosx;sinx)=f(cosx;sinx) - подынтегральная функция четна относительно косинуса, поэтому применяется подстановка

tgx=t ⇒ 1+tg^2x=[m]\frac{1}{cos^2x}[/m] ⇒ cos^2x=[m]\frac{1}{1+tg^2x}[/m]

cos^2x=[m]\frac{1}{1+t^2}[/m]

x=arctgt

dx=[m]\frac{dt}{1+t^2}[/m]

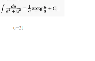
[m]\int \frac{dx}{1+3cos^2x}=\int \frac{\frac{dt}{1+t^2}}{1+3\cdot\frac{1}{1+t^2}}=\int \frac{dt}{1+t^2+3}=\int \frac{dt}{t^2+4}=[/m]

[m]=\frac{1}{2}\cdot arctg\frac{t}{2}=\frac{1}{2}\cdot arctg\frac{tgx}{2}+C[/m]- о т в е т


Написать комментарий

Меню

Присоединяйся в ВК