Задать свой вопрос   *более 50 000 пользователей получили ответ на «Решим всё»

Задача 42070 Решить интеграл ...

Условие

Решить интеграл

математика ВУЗ 894

Решение

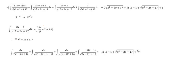
[m]\int \frac{2x-1}{\sqrt{x^2-2x+17}}dx=[/m]

Выделяем полный квадрат в знаменателе:

x^2-2x+17=x^2-2x+1+16=(x-1)^2+16

Замена переменной
x-1=t
x=t+1
dx=(t+1)`dt
dx=dt

2x-1=2*(t+1)-1=2t+1


получаем:

[m]\int \frac{2t+1}{ \sqrt{t^2+16}}dt=\int \frac{2t}{ \sqrt{t^2+16}}dt+\int \frac{1}{ \sqrt{t^2+16}}dt=[/m]


Первый табличный:
[m]\int \frac{du}{\sqrt{u}}=2\sqrt{u}[/m]

u=t^2+16
du=2tdt

Второй табличный:

[m]\int \frac{du}{\sqrt{u^2+k}}=ln|u+\sqrt{u^2+k}|[/m]


[m]\int \frac{2t+1}{ \sqrt{t^2+16}}dt=\int \frac{2t}{ \sqrt{t^2+16}}dt+\int \frac{1}{ \sqrt{t^2+16}}dt=[/m]

[m]\int \frac{du}{ \sqrt{u}}+\int \frac{1}{ \sqrt{t^2+16}}dt=[/m]

[m]=2\sqrt{u}+ln|t+\sqrt{t^2+16}|+C=[/m]

[m]=2\sqrt{t^2+16}+ln|t+\sqrt{t^2+16}|+C=[/m]

[m]=2\sqrt{x^2-2x+17}+ln|x-1+\sqrt{x^2-2x+17}|+C[/m] - о т в е т



Написать комментарий

Меню

Присоединяйся в ВК