Задать свой вопрос   *более 50 000 пользователей получили ответ на «Решим всё»

Задача 42066 ...

Условие

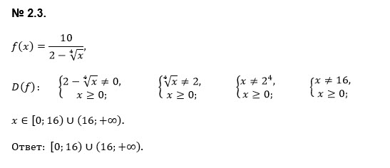
2.3. Найдите область определения функции f(x)= ....

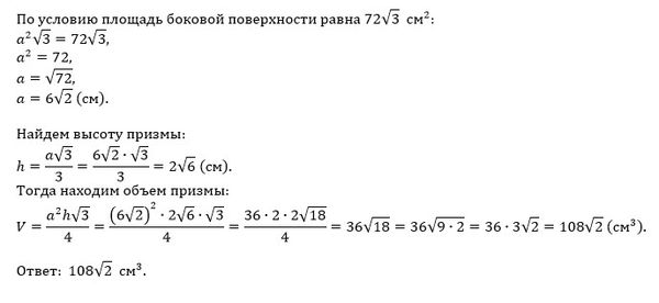
2.4. Диагональ боковой грани правильной треугольной призмы образует с основанием угол 30°. Найти объем призмы, если площадь ее боковой поверхности 72√3 см².

математика 10-11 класс 564

Решение

Написать комментарий

Меню

Присоединяйся в ВК