Задать свой вопрос   *более 50 000 пользователей получили ответ на «Решим всё»

Задача 42063 ...

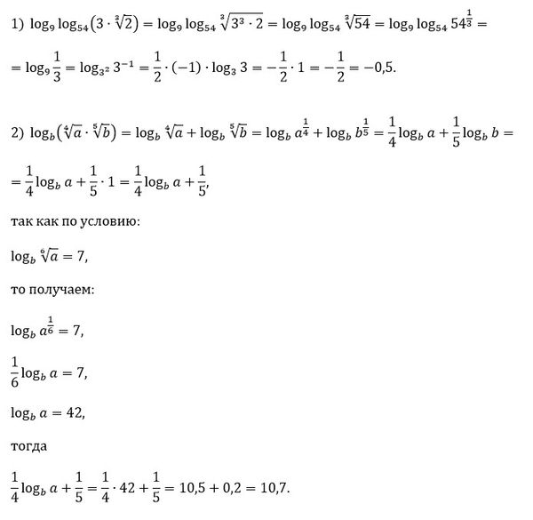
Условие

Помогите решить примеры: 1) log9log(54)(3·∛2); 2) log(b)((кв.корень в 4 степени из a)·(кв.корень в 5 степени из b)), если log(b) (кв.корень в 6 степени из а) = 7.

математика 10-11 класс 2764

Решение

Написать комментарий

Меню

Присоединяйся в ВК