Задать свой вопрос
*более 50 000 пользователей получили ответ на «Решим всё»
Задача 42058
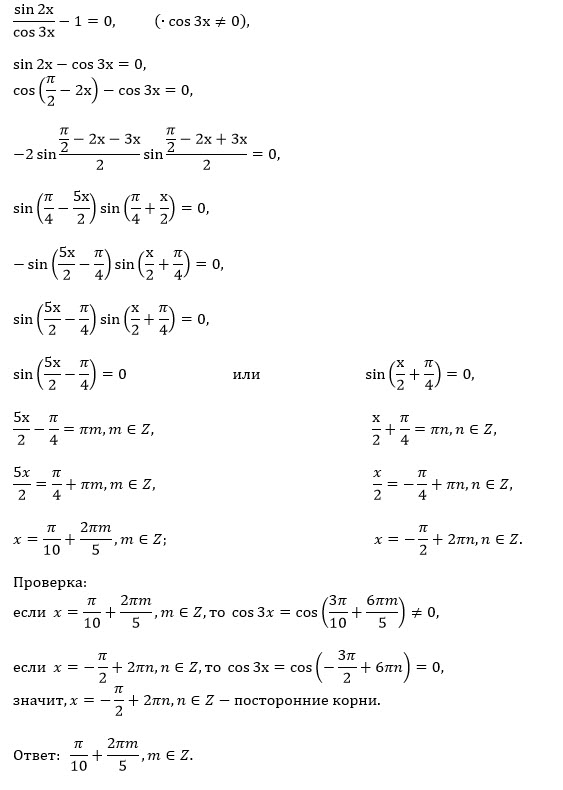
(Sin2x/cos3x)-1=0 ...
Условие
vk538159883
2019-11-29 07:24:15
(Sin2x/cos3x)-1=0
предмет не задан
1578
Все решения
u821511235
2019-11-29 08:33:47
Написать комментарий
Меню
Решим всё
Найти задачу
Категории
Статьи
Тесты
Архив задач
Присоединяйся в ВК