Задать свой вопрос   *более 50 000 пользователей получили ответ на «Решим всё»

Задача 42051 ...

Условие

∫_(C) ds/sqrt(x^2+y^2+4) , где С - отрезок прямой, соединяющей точки

математика ВУЗ 1117

Решение

Уравнение прямой ОА:
y=2x

ds=sqrt(1+(y`)^2)dx=sqrt(1+2^2)dx=sqrt(5)dx

sqrt(x^2+y^2+4)=sqrt(x^2+(2x)^2+4)=sqrt(5x^2+4)

тогда искомый интеграл можно записать как определенный:

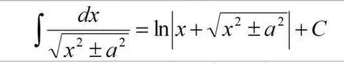
∫ ^(1)_(0)sqrt(5)dx/sqrt(5x^2+4)=∫ ^(1)_(0)d(sqrt(5)x)/sqrt((sqrt(5)x)^2+4)=

=ln|sqrt(5)x+sqrt(5x^2+4)|^(1)_(0)=

=ln(sqrt(5)+3)-ln2

Написать комментарий

Меню

Присоединяйся в ВК