Задать свой вопрос   *более 50 000 пользователей получили ответ на «Решим всё»

Задача 42019 Исследовать на разрыв x=1 - точка...

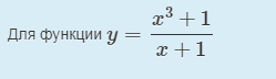
Условие

Исследовать на разрыв
x=1 - точка разрыва первого рода
x=-1 - точка разрыва второго рода
x=1 - точка разрыва второго рода
нет точек разрыва

математика ВУЗ 764

Все решения

x^3+1=(x+1)(x^2-x+1)

y=[m]\frac{(x+1)(x^2-x+1)}{x+1}[/m]

y=x^2-x+1, x ≠ -1

x =-1- точка разрыва первого рода ( устранимый разрыв)
Функция не определена в точке, но предел есть, он равен 3

Написать комментарий

Меню

Присоединяйся в ВК