Задать свой вопрос
*более 50 000 пользователей получили ответ на «Решим всё»
Задача 42017
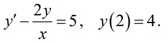
Найдите частное решение уравнения,...
Условие
vk562694071
2019-11-28 16:24:41
Найдите частное решение уравнения, удовлетворяющее начальному условию.
математика ВУЗ
644
Решение
slava191
2019-11-28 16:33:35
★
Написать комментарий
Меню
Решим всё
Найти задачу
Категории
Статьи
Тесты
Архив задач
Присоединяйся в ВК