Задать свой вопрос
*более 50 000 пользователей получили ответ на «Решим всё»
Задача 41992
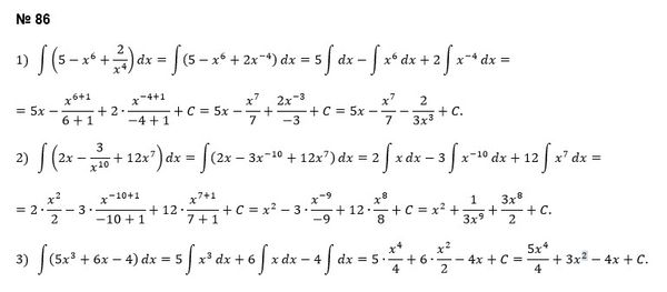
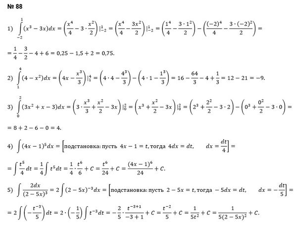
Буду очень благодарна за решение ...
Условие
slava55
2019-11-27 20:21:43
Буду очень благодарна за решение
предмет не задан
547
Решение
u821511235
2019-11-27 22:23:32
★
Написать комментарий
Меню
Решим всё
Найти задачу
Категории
Статьи
Тесты
Архив задач
Присоединяйся в ВК