а) x^3-25x = 0
б) (x^2-1)/2 - (3x-1)/4 = 2
2. Решите биквадратное уравнение x^4-40x^2+144 = 0
3. При каких c значение дроби (c^3-7c^2-4c+28)/(c^2-49) равно нулю?
4. Решите уравнение:
а) 20y/(36y^2-4) - (2y-3)/(2-6y) = (5-2y)/(6y+2)
б) (x^2+3x+4)(x^2+3x+9) = 266
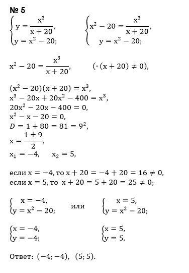
5. Найдите координаты точек пересечения графиков функций y = x^3/(x+20) и y=x^2-20


