Задать свой вопрос   *более 50 000 пользователей получили ответ на «Решим всё»

Задача 4195 С башни высотой 35 м горизонтально...

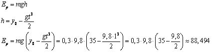
Условие

С башни высотой 35 м горизонтально брошей камень массой 0,3 кг. Пренебрегая сопротивлением воздуха, определите:

2) потенциальную энергию камня через 1 с после начала движения.

физика 10-11 класс 3710

Решение



Ответ: 88.5

Написать комментарий

Меню

Присоединяйся в ВК