Задать свой вопрос   *более 50 000 пользователей получили ответ на «Решим всё»

Задача 4194 С башни высотой 35 м горизонтально...

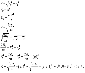
Условие

С башни высотой 35 м горизонтально брошен камень массой 0,3 кг. Пренебрегая сопротивлением воздуха, определите:
1) скорость, с которой брошен камень, если через 1 с
после начала движения его кинетическая энергия составила 60 Дж;

физика 10-11 класс 7729

Решение



Ответ: 17.4

Написать комментарий

Меню

Присоединяйся в ВК