Задать свой вопрос
*более 50 000 пользователей получили ответ на «Решим всё»
Задача 41935
Упростить (2m)^(3/2) +...
Условие
barca121
2019-11-26 18:00:23
Упростить
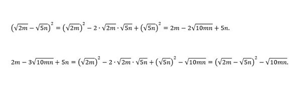
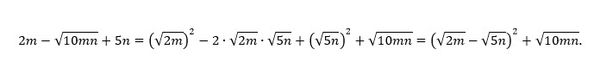
(2m)^(3/2) + (5n)^(3/2)
——————
(2m)^(1/2) + (5n)^(1/2)
предмет не задан 10-11 класс
646
Решение
u821511235
2019-11-26 19:53:24
★
Написать комментарий
Меню
Решим всё
Найти задачу
Категории
Статьи
Тесты
Архив задач
Присоединяйся в ВК