Задать свой вопрос
*более 50 000 пользователей получили ответ на «Решим всё»
Задача 41905
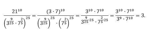
21^(10) / (3^(9/25)7^(2/5))^25...
Условие
albina
2019-11-25 20:34:16
21^(10) / (3^(9/25)7^(2/5))^25
математика 10-11 класс
733
Все решения
u821511235
2019-11-25 22:43:55
Написать комментарий
Меню
Решим всё
Найти задачу
Категории
Статьи
Тесты
Архив задач
Присоединяйся в ВК