Задать свой вопрос   *более 50 000 пользователей получили ответ на «Решим всё»

Задача 41753 1. [m]\frac{x - 4}{x + 1} -...

Условие

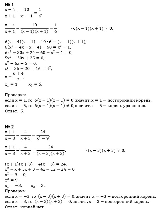
1. [m]\frac{x - 4}{x + 1} - \frac{10}{x^2 - 1} = \frac{1}{6}[/m];

2. [m]\frac{x + 1}{x - 3} - \frac{4}{x + 3} = \frac{24}{x^2 - 9}[/m];

3. [m]\frac{x + 3}{x - 2} = \frac{20}{x^2 - 4} + \frac{x + 7}{x + 2}[/m];

4. [m]\frac{x - 3}{x + 2} - \frac{x + 20}{1 - x} = \frac{15}{(x + 2)(x - 1)}[/m].

предмет не задан 1143

Решение

Написать комментарий

Меню

Присоединяйся в ВК