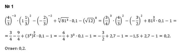
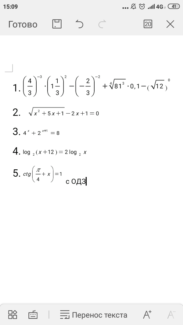
[m] \left( \frac{4}{3} \right)^{-3} \cdot \left( \frac{1}{3} \right)^2 - \left( \frac{-2}{3} \right)^{-2} + \sqrt[4]{81^3} \cdot 0.1 - \left( \sqrt{12} \right)^0 [/m]
2.
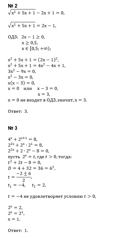
[m] \sqrt{x^2 + 5x + 1 - 2x + 1} = 0 [/m]
3.
[m] 4^x + 2^{x + 1} = 8 [/m]
4.
[m] \log_2 (x + 12) = 2 \log_2 x [/m]
5.
[m] \cot \left( \frac{\pi}{4} + x \right) = 1 [/m]
[m] \text{с ОДЗ} [/m]

