Задать свой вопрос   *более 50 000 пользователей получили ответ на «Решим всё»

Задача 41705 27^(x)-5*9^(x)-3^(x+2)+45=0...

Условие

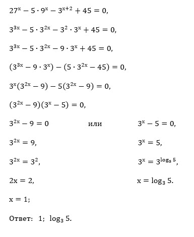
27^(x)-5*9^(x)-3^(x+2)+45=0

математика 10-11 класс 37340

Решение

Все решения

(3^x)^3-5*(3^x)^2-3^x*3^2+45=0
Замена переменной
3^x=t
t^3-5t^2-9t+45=0

t^2*(t-5)-9*(t-5)=0
(t-5)*(t^2-9)=0

t=5 или t^2-9=0
t=5 или t= ± 3

Написать комментарий

Меню

Присоединяйся в ВК