Задать свой вопрос
*более 50 000 пользователей получили ответ на «Решим всё»
Задача 41685
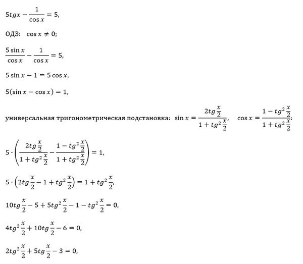
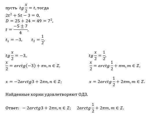
5*tan(x) - 1/cos = 5...
Условие
vk559938622
2019-11-19 15:22:24
5*tan(x) - 1/cos = 5
математика 10-11 класс
684
Все решения
u821511235
2019-11-19 19:40:59
Написать комментарий
Меню
Решим всё
Найти задачу
Категории
Статьи
Тесты
Архив задач
Присоединяйся в ВК