Задать свой вопрос
*более 50 000 пользователей получили ответ на «Решим всё»
Задача 41670
Радиус основания цилиндра 4 см, высота...
Условие
brightestkitty
2019-11-19 13:45:00
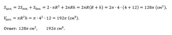
Радиус основания цилиндра 4 см, высота 12 см. Найти площадь поверхности и объем цилиндра.
математика
1666
Решение
u821511235
2019-11-19 13:51:15
★
Написать комментарий
Меню
Решим всё
Найти задачу
Категории
Статьи
Тесты
Архив задач
Присоединяйся в ВК