Задать свой вопрос
*более 50 000 пользователей получили ответ на «Решим всё»
Задача 41669
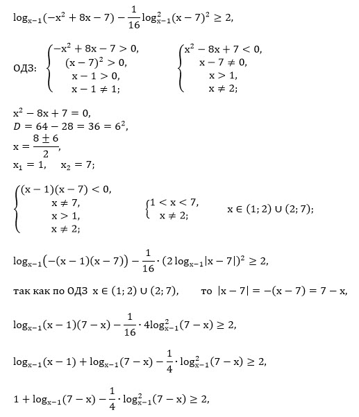
Помогите и это неравенство решить...
Условие
vk380876195
2019-11-19 13:31:01
Помогите и это неравенство решить
предмет не задан
456
Все решения
u821511235
2019-11-19 13:49:49
Написать комментарий
Меню
Решим всё
Найти задачу
Категории
Статьи
Тесты
Архив задач
Присоединяйся в ВК