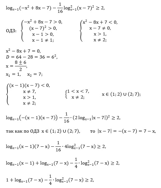
{-x^2+8x-7 >0 ⇒ x^2 - 8x + 7 < 0 ⇒ (x-1)(x-7) <0 ⇒ 1 < x < 7
{(x-7)^2 > 0 ⇒ x ≠ 7
{x-1 > 0 ⇒ x > 1
[red]x ∈ (1;7)[/red]
В условиях ОДЗ:
log_(x-1)(-x^2+8x-7)=log_(x-1)(x-1)(7-x)=log_(x-1)(x-1)+log_(x-1)(7-x)=
=1+log_(x-1)(7-x)
[red]x ∈ (1;7)[/red] x-7 < 0, поэтому |x-7|=-(x-7)=7-x
log_(x-1)(x-7)^2=2log_(x-1)|x-7|=2log_(x-1)(7-x)
тогда
log^2_(x-1)(x-7)^2=(2log_(x-1)(7-x))^2=4log^2_(x-1)(7-x)
Неравенство принимает вид:
[blue]1+log_(x-1)(7-x)-0,25log^2_(x-1)(7-x) ≥ 2[/blue]
log^2_(x-1)(7-x)-4log_(x-1)(7-x)+4 ≤ 0
(log_(x-1)(7-x) - 2) ^2 ≤ 0 ⇒
log_(x-1)(7-x)=2
(x-1)^2=7-x
x^2-2x+1=7-x
x^2-x-6=0
D=1-4*(-6)=25
х_(1)=-2 ( не удовл ОДЗ); х_(2)=3
О т в е т. 3.
