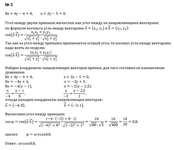
2. Вычислите угол между двумя прямыми. 8x+4y-4=0 и x+2y-5=0.
3. Составить уравнение прямой проходящей через т.А (4;3) и параллельно прямой:
(x-1)/3=(y+2)/-2
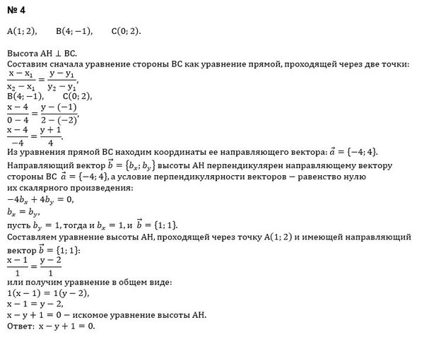
4. Дан треугольник ABC: A(1;2), B(4;-1), C(0;2). Составить уравнение высоты АН.
5. В каком расположении находятся прямые 2x-y+9=0 и x+2y-1=0.



