Задать свой вопрос   *более 50 000 пользователей получили ответ на «Решим всё»

Задача 41650 ...

Условие

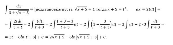
7. Найти неопределенный интеграл:
∫ [m]\int \frac{dx}{3+\sqrt{x+5}}[/m]

Нужен подробный ответ.Спасибо кто поможет

предмет не задан 651

Решение

Замена:
sqrt(x+5)=t
x+5=t^2
x=t^2-5
dx=2tdt

[m]\int \frac{dx}{3+\sqrt{x+5}}=\int \frac{2tdt}{3+t}=2\int \frac{t+3-3}{t+3}dt=2\int dt-6\int \frac{dt}{t+3}=[/m]

[m]=2t-ln|t+3|+C=2\sqrt{x+5}-6ln|\sqrt(x+5)+3|+C[/m]






Все решения

Написать комментарий

Меню

Присоединяйся в ВК