Задать свой вопрос
*более 50 000 пользователей получили ответ на «Решим всё»
Задача 41647
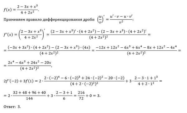
Найти производную, f(x) = (2 - 3x +...
Условие
vk288952222
2019-11-18 20:09:39
Найти производную,
f(x) = (2 - 3x + x^3) / (4 + 2x^2) Вычисли 2f'(-2) + 3f(1)
математика
695
Решение
u821511235
2019-11-18 21:51:12
★
Написать комментарий
Меню
Решим всё
Найти задачу
Категории
Статьи
Тесты
Архив задач
Присоединяйся в ВК