Задать свой вопрос
*более 50 000 пользователей получили ответ на «Решим всё»
Задача 41636
общее решение дифференциального...
Условие
liv1
2019-11-18 14:58:00
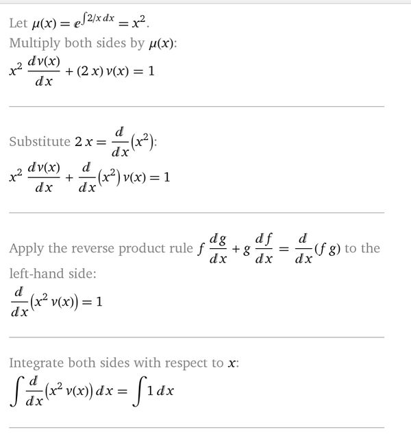
общее решение дифференциального уравнения
(y^2 - 2xy) dx + x^2 dy = 0
математика ВУЗ
830
Решение
slava191
2019-11-18 19:11:14
★
Написать комментарий
Меню
Решим всё
Найти задачу
Категории
Статьи
Тесты
Архив задач
Присоединяйся в ВК